Your Name
Your Title / Position
Featured work
Practical Latency Observability with eBPF
CPU, memory, and I/O latency measurements
In progress
5G O-RAN network simulation
Core↔RIC↔gNB bring-up
2025.06
CAN Bus Security Analysis and Intrusion Detection via LabVIEW
Rate-based IDS with 64-bit multi-signal bit-packing in LabVIEW
2024.12
On-Device GPU Image Processing via OpenCL
8.4× Gaussian blur speedup on Android
2023.12
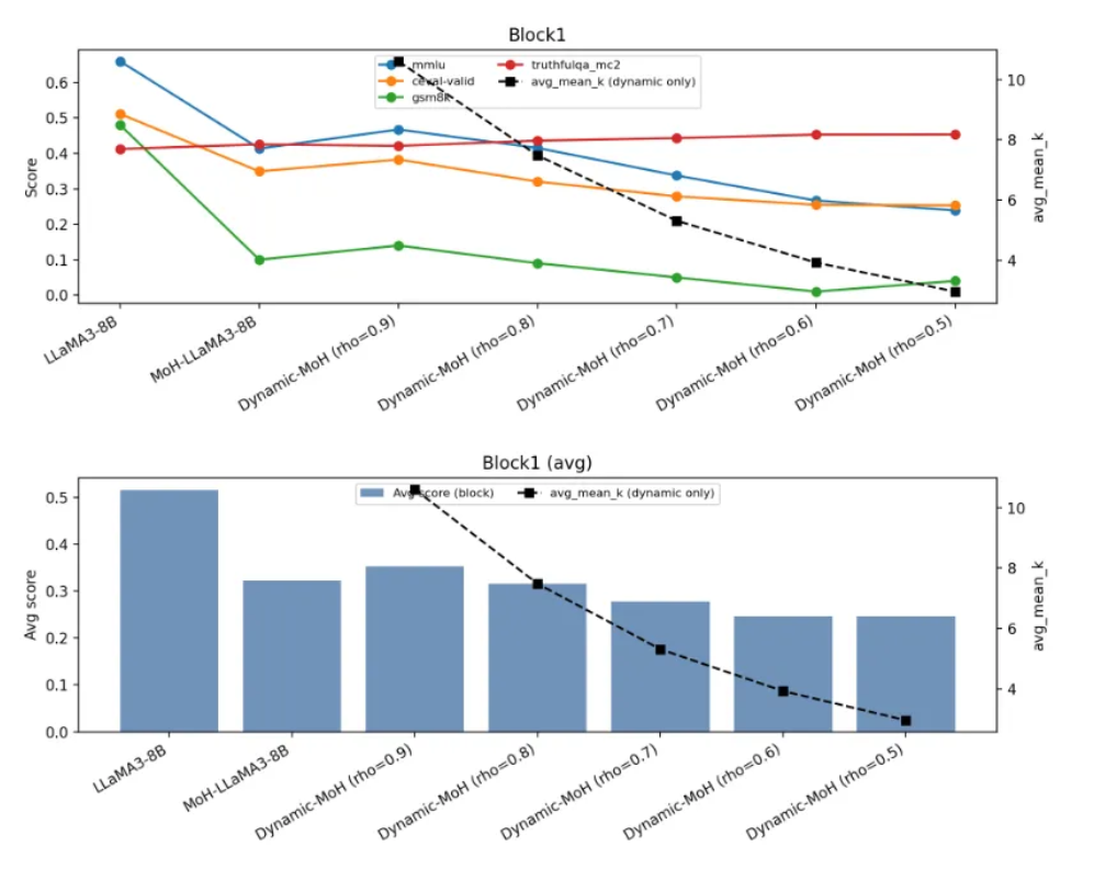
Memory-efficient LLM inference via MoH offloading
Head-wise routing traces and system trade-offs
In progress
PIM-accelerated gradient accumulation for 3DGS-SLAM
Atomic-conflict mitigation via bank-local reduction
In progress